You won't be surprised to learn your questions startled the tech, and caused the Sleep Dr. to ask "Where did you get that information?"
I gave the tech a copy of the chart including "Total number of PLM bursts, & every item listed down to number of PLMs per hour, and a list of the medications for that period. Yes, Yes, Muffy, it was an accurate list.Muffy wrote:Muffy wrote:
the complete list of medications.
BTW, you done yet? Make sure you have the values for PLMs correct, too (as in differentiating totals per night vs number per hour, or indices).
Muffy wrote:"Boy, y'know, I heard somewhere that PLMs could result in changes in breathing and/or changes in the PSG signals that could could make relatively normal breathing look like OSA, or perhaps UARS. How do I know that that hasn't been a significant confounding factor all along?"
I would say that there is a 50-50 shot that the reply will necessitate the next question:
"How do I know that they aren't simply a bunch of &#%!ing liars?"
Either the questions startled him, or the fact that a patient was asking the questions was the upsetting part. He asked where did you get that: I told him I visit several on-line sleep sites. He asked which ones - Well, the AASM's site on Sleep Education.com or the National Sleep Foundation. or NIH - lots of good information from all of those.
He grumbled that everyone was attempting to be a Sleep Professional, and the Doctor would answer those questions for me. So, I didn't get to ask if they were a bunch of liars.
Muffy, don't you give points for answering within 12 hours? I couldn't find it using his name - He isn't that famous. I was looking up RLS information and found many, many sites extolling his miraculous discovery.Muffy wrote:SaltLakeJan wrote:
Of course Dr Garcia-Borreguero's amazing revelation regarding Lyrica was funded by Pfizer.
Good thing I didn't ask you to pass me the snake-bite kit.
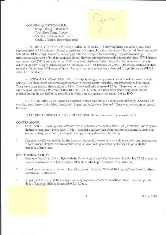
I am sending the Comprehensive Polysomnogrraphy Report, But I think I didn't get it all, What am I missing? I'm too tired to send more. Much appreciation for all the help you gave me. Thanks for the questions, . Jan






